We need your help now

Support from readers like you keeps The Journal open.

You are visiting us because we have something you value. Independent, unbiased news that tells the truth. Advertising revenue goes some way to support our mission, but this year it has not been enough.

If you've seen value in our reporting, please contribute what you can, so we can continue to produce accurate and meaningful journalism. For everyone who needs it.

Maths Week: Your Tuesday puzzle

Fancy a mathematics challenge? (And get the answer to yesterday’s puzzle.)

MATHS WEEK IS under way and, as is our annual tradition, we’re setting our readers some puzzles. Give them a go!

“Man, what the f*$k do the Greeks have to do with anything?”
-Rusty James in the film, Rumble Fish, 1983

When we think of maths, we don’t often think of its story and where it comes from.

The ancient Greeks are often considered to have discovered (or invented) maths.

However, while the Greeks developed their geometry and theorems over centuries, they in turn learned from others. In turn, they passed on their knowledge to others who built on it.

The name of Pythagoras (570–490 BCE) is known to secondary school pupils the world over, through his eponymous theorem. Even if that theorem might be remembered as “the square on the hippopotamus…”.

It states that for any right angle triangle, if you built a square on each side then the areas of the two smaller squares added together will equal the area of the larger square. It’s used a lot in architecture, construction and woodwork.

Of course, it may not have been Pythagoras who first discovered this relationship but he gets the credit, and it has been validated by many ingenious proofs.

Pythagorean triples are sets of three whole numbers where the two smaller numbers squared and added will equal the third number squared.

3, 4 and 5 are one such triple as are any set of multiples of them. In fact, lists of these triples are found on Mesopotamian cuneiform tablets that were compiled centuries before.

The followers of Pythagoras – the Pythagoreans – took a love of maths to extremes. They believed all things were made of numbers and that mathematics had a mystical meaning.

In Maths Week, we don’t go that far, but we think that maths can enrich all our lives and reveal mysteries of the universe. We can also use it to exercise our brains and help us develop problem-solving skills.

Here is one for you to try:

Three Pythagoreans are talking about their life journeys.

The eldest said to the second oldest, “Fifteen years ago I was your age.”

The second turned to the youngest and said, “Fifteen years ago I was your age.”

The youngest then replied: “The square of my age plus the square of your age is equal to the square of our venerable elder’s age.”

How old is each Pythagorean?

All puzzles are by Eoin Gill, the coordinator of Maths Week Ireland and director Calmast STEM Engagement Centre, Waterford Institute of Technology

Come back tomorrow for Wednesday’s puzzle and the answer for today’s.  

Monday’s puzzle: The Answer 

120 gold coins

The method: 

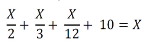
If we call the total number of coins X we can express all the amount in terms of X.

The three chief ministers got half the sum.

PastedImage-35593

The priestesses each got the same as each minister. There were three ministers between them receiving half of the treasure. A half divided by 3 is a sixth, so they got one-sixth (i.e. 1/6 each) and that is what the priestesses got each.

So, the priestesses get:

PastedImage-62737

The chancellor gets half of the priestess cut i.e.

The food taster is left with 10 gold pieces.

So all these portions added together will equal the total amount, X

We can form an equation from this information like this:

PastedImage-93836

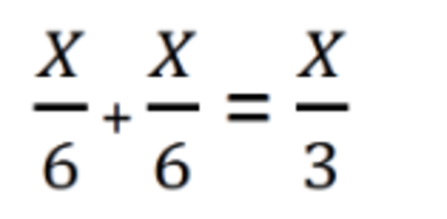
We can’t add the fractions directly we must convert them to a common denomination. In the spirit of the Sumerians we can use 60: 

PastedImage-67560

Readers like you are keeping these stories free for everyone...
A mix of advertising and supporting contributions helps keep paywalls away from valuable information like this article. Over 5,000 readers like you have already stepped up and support us with a monthly payment or a once-off donation.

Close
23 Comments
This is YOUR comments community. Stay civil, stay constructive, stay on topic. Please familiarise yourself with our comments policy here before taking part.
Leave a Comment
    Submit a report
    Please help us understand how this comment violates our community guidelines.
    Thank you for the feedback
    Your feedback has been sent to our team for review.

    Leave a commentcancel

     
    JournalTv
    News in 60 seconds