We need your help now

Support from readers like you keeps The Journal open.

You are visiting us because we have something you value. Independent, unbiased news that tells the truth. Advertising revenue goes some way to support our mission, but this year it has not been enough.

If you've seen value in our reporting, please contribute what you can, so we can continue to produce accurate and meaningful journalism. For everyone who needs it.

This map shows how Dublin is a city divided

A report commissioned by the council shows where the bulk of the wealth is – and the deprivation.

A REPORT COMMISSIONED by Dublin City Council has highlighted the divide between the affluent and the disadvantaged in the city.

The report forms part of the consultation process for the Local Economic and Community Plan and is intended to provide the public with the information needed put forward their own ideas on developing the city.

It contains a number of charts that show the stark reality of a city divided, particularly in terms of wealth and education.

The map below shows most of the wealth in Dublin is concentrated on the south-east coast. The areas on the outskirts of the city marked in blue are the most disadvantaged.

Data on educational attainment also shows a much higher proportion of people in the north of the city did not go beyond second level education.

Click here for larger version

In some of the more disadvantaged areas, the proportion of people who left school after primary level is up to 40%.

Click here for larger version

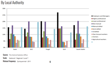
The Dublin City Council administrative area has the highest proportion of unskilled workers. By contrast, as the long black line in the chart above shows, more than one quarter of the people living in the Dun Laoghaire Rathdown area are either employers or managers.

Reality check

Fianna Fáil councillor Paul McAuliffe, who is chair of the council’s enterprise and economic development committee, told TheJournal.ie he believes this report is a “reality check for policymakers”.

“It’s very clear Dublin is a divided city and these issues are not related to the economic crash – this is something that goes back over 200 years.”

The councillor said he believes social housing plans have been a huge contributing factor to what we can see in these maps, saying it is “clear it has had a generational knock-on effect”.

For him, the most worrying chart is the one below, which clearly shows the large proportion of 25 to 34 year olds living in the city.

“There’s that bulge coming through the system of 30 to 34 year olds. In the 80s there was a shortage of primary schools because of this group, in the 90s a shortage of third level places and in the noughties, a shortage of housing, and now childcare.

What are we doing when that group hit 50 and 60? What are we doing to support them?

He is asking individual members of the public, as well as community and other interest groups, to take part in the consultation process and put forward “radical” ideas for change in Dublin city.

The deadline for submissions is the end of this month and more details on the plan and how to take part can be found here.

Read: What makes people happy now is different to 80 years ago, but not THAT different>

Read: What recession? Ireland’s richest people wealthier now than during Celtic Tiger>

Readers like you are keeping these stories free for everyone...
A mix of advertising and supporting contributions helps keep paywalls away from valuable information like this article. Over 5,000 readers like you have already stepped up and support us with a monthly payment or a once-off donation.

Close
33 Comments
    Submit a report
    Please help us understand how this comment violates our community guidelines.
    Thank you for the feedback
    Your feedback has been sent to our team for review.
    JournalTv
    News in 60 seconds